
聯系熱線
近日,中國醫療器械憑NMPA認證可通過馬來西亞"驗證通道"30天極速獲批,而馬來西亞IVD產品也可經中國"綠色通道"60天準入中國市場。并且,中國省級藥品監管部門頒發的II類IVD證書首次被納入認可范圍。
根據馬來西亞醫療器械管理局(MDA)發布的公告,該試點第一階段將持續至2025年9月30日,為IVD(體外診斷)企業提供了一個僅2個月的寶貴窗口期。這一突破性政策將極大簡化中國IVD產品進入馬來西亞市場的審批流程,從以往半年以上的注冊周期縮短至僅30個工作日。

對于想開拓東南亞市場的IVD企業來說,手上擁有NMPA二/三類注冊證的IVD企業,可以跳過重復臨床、跳過冗長審評,直接申請馬來西亞市場準入。
審批時間大幅縮短:從傳統流程需要6-24個月縮短至30個工作日。
成本顯著降低:免去重復臨床和檢測環節,企業可節省約90%的合規成本。
流程極大簡化:設計、材料、適應癥無需改動即可原樣通關。
值得注意的是,目前該互認協議僅適用于IVD產品,不包括普通醫療器械。馬來西亞MDA官方已確認這一范圍限制,但未來可能會擴展至其他醫療器械類別。協議實施后,中國NMPA的監管決定將獲得與歐盟、美國FDA、澳大利亞TGA等傳統權威機構同等的認可地位。
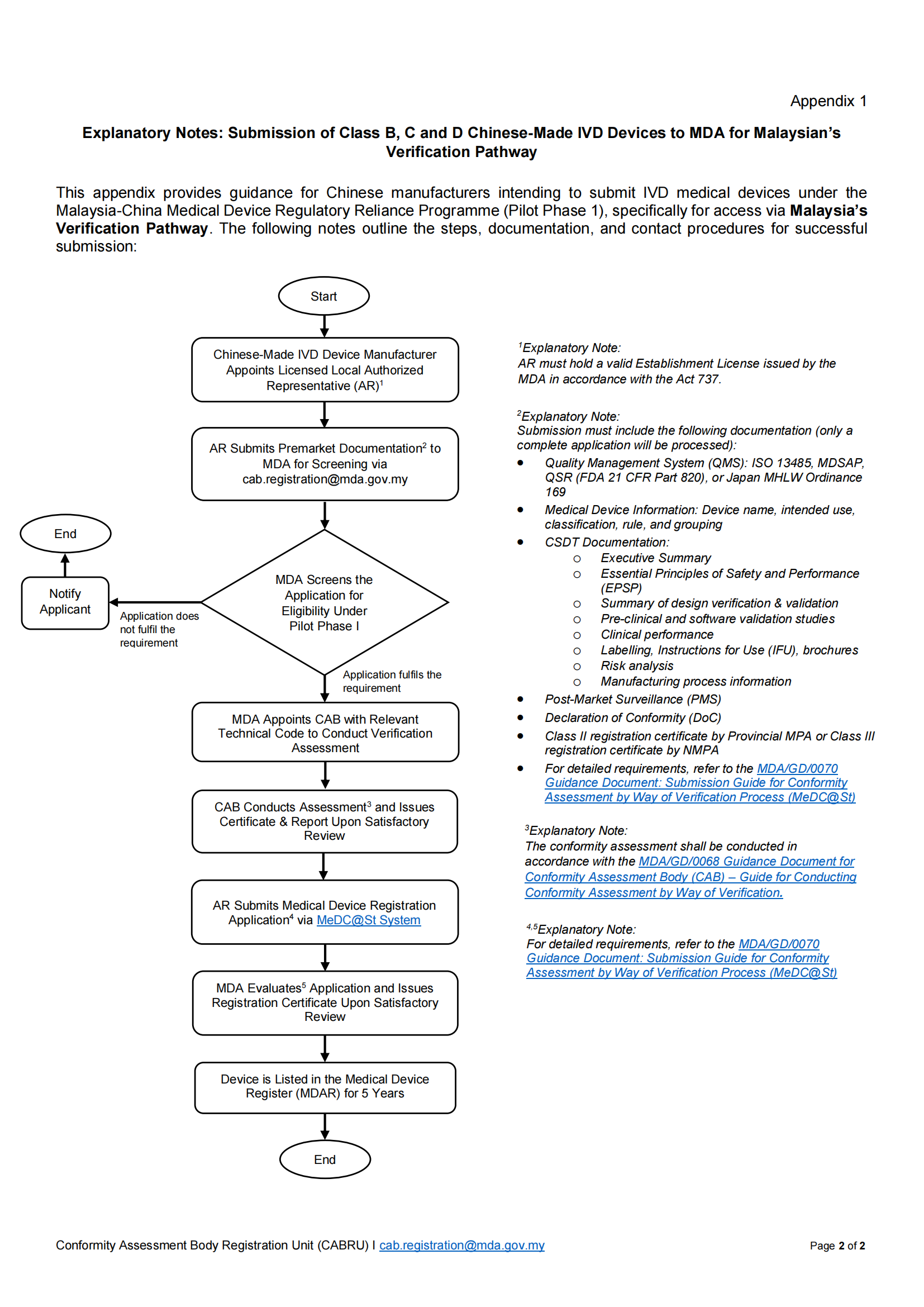
根據馬來西亞MDA發布的《馬來西亞-中國醫療器械監管互認計劃的實施(試點第一階段:2025年7月30日至9月30日)》公告,申請企業需滿足以下核心要求:

資格要求
特別提醒:企業應充分利用這2個月的試點窗口期,因為試點結束后政策可能會有調整。早提交的企業將享受"先到先審"的優勢。如有IVD產品注冊等需求,歡迎咨詢創京檢測。
注冊流程
指定授權代表 (AR): 中國制造商必須指定一個持有有效MDA機構許可證的馬來西亞當地授權代表(AR)。
預審文件提交:AR向MDA提交上市前文件包進行初步資格篩選。提交郵箱:cab.registration@mda.gov.my
CAB技術評估: MDA在確認資格后,將指派合格評定機構(CAB)進行驗證評估。
評估報告出具: CAB出具評估報告后,AR通過MeDC@St?系統提交正式的醫療器械注冊申請。
正式注冊申請: MDA評估申請并頒發注冊證書。

注冊申報資料要求
質量管理體系(QMS):ISO 13485、MDSAP、QSR(美國FDA 21 CFR第 820部分)或日本MHLW Ordinance 169
醫療器械信息:器械名稱、預期用途、分類、適用規則及分組
CSDT 技術文檔:
– 執行摘要
– 安全與性能基本原則(EPSP)
– 設計驗證與確認摘要
– 臨床前及軟件驗證研究
– 臨床性能數據
– 標簽、使用說明書(IFU)及宣傳冊
– 風險分析文件
– 生產工藝信息
上市后監測(PMS)計劃
符合性聲明(DoC)
中國省級藥監局簽發的第二類注冊證書或國家藥監局(NMPA)簽發的第三類注冊證書
省藥監局II類注冊證書或國家藥監局III類注冊證書
長期來看,這一互認機制可能推動形成全球IVD監管新秩序,改變長期以來由歐美主導的醫療器械國際規則體系,為中國乃至發展中國家的醫療產品全球化創造更公平的環境。監管互認的時代已經到來,這不僅是一種行政程序的簡化,更是中國醫療器械產業國際競爭力提升的鮮明標志。
關于創京檢測
上海創京檢測技術有限公司成?于2018年 , 是?家專業的第三?醫療器械檢驗檢測公司,公司擁有多項權威資 質認證,已獲得國家CNAS和CMA雙C資質,在?業內具備高度公信力。
在檢測能力方面,公司檢測范圍廣泛,涵蓋EMC電磁兼容、安全性能測試、環境可靠性、軟件測試、體外診斷(IVD)等各類醫療器械的注冊檢測和咨詢等。出具權威資質的檢驗檢測報告,已獲得國家藥監局 、省藥監局 、審評中?的認可,為醫療器械在性能、安全性、有效性等??把關。
創京檢測嚴格按照ISO/IEC17025打造實驗室管理體系。公司擁有獨?核?實驗室:10?法電磁兼容實驗室、3?法電磁發射半電波暗室、3?法全電波暗室、電磁?擾屏蔽室、靜電測試屏蔽室、電磁?擾抗擾度屏蔽室、電?安全實驗室、可靠性實驗室、軟件測試實驗室、振動運輸實驗室、光學實驗室、?頻?術設備檢測實驗室、超聲設備檢測實驗室。可隨時迅速響應各?業客?在各領域的不同需求,提供近距離、本地化的專業服務。